Общий вид раздаточной коробки с межосевым дифференциалом показан на рис. 12.
Рис. 12 Общий вид раздаточной коробки VG-1600: 1 — вилка включения блокировки дифференциала, 2 — межосевой дифференциал, 3 — сферический подшипник, 4 — цилиндрический роликовый подшипник, 5 — корпус масляного насоса, 6 — цилиндрический подшипник, 7 — стакан
Отдельные детали раздаточной коробки представлены на рис. 13.
Рис. 13. Детали раздаточной коробки VG-1600/300.
Межосевой дифференциал 2 планетарного типа — несимметричный. По схеме передачи силового потока представляет из себя один планетарный ряд с подводом мощности к водилу и распределением ее по направлениям: от коронной шестерни 73% мощности передается на задний мост и 27% мощности — на передний. Планетарный ряд с прямозубыми шестернями имеет пять сателлитов, установленных на осях с элементами их фиксации от осевых перемещений. Каждый сателлит вращается на двух сепараторных роликовых игольчатых подшипниках. Между торцевыми поверхностями водила и каждого сателлита с двух сторон установлены шайбы. Сателлиты и оси имеют одинаковую цифровую маркировку, т.к. выполняется их совместная обработка. Ведомая косозубая шестерня со стороны вала привода заднего моста установлена непосредственно на конический роликовый подшипник, внутренним кольцом запрессованный на стакан задней крышки. Со стороны привода переднего моста двенадцатью болтами крепится жесткое водило и фланец с зубчатой полумуфтой. На цилиндрическую поверхность фланца установлено внутреннее кольцо переднего конического подшипника. С другой стороны, водило опирается на цилиндрический подшипник, расположенный в расточке выходного вала заднего моста.
Выходной вал со стороны задней крышки установлен на двух подшипниках, один из которых шариковый, а другой подшипник цилиндрический роликовый — 4.
Особенностью конструкции является то, что шариковый подшипник по наружному кольцу установлен свободно с гарантированным зазором. От проворачивания наружного кольца под нагрузкой предусмотрены два прямоугольных паза, противоположно расположенных в торцевой плоскости наружного кольца подшипника, обращенных к переднему мосту, в один из которых заходит цилиндрический штифт, запрессованный в радиальное отверстие стакана задней крышки. На рис. 13 фланец с отверстием, сам штифт и паз шарикового подшипника хорошо видны как отдельные детали. Наружное кольцо цилиндрического роликового подшипника установлено по переходной подшипниковой посадке. Для исключения возможного перемещения наружного кольца шарикового подшипника в этой паре подшипников при сборке, подбором регулировочных колец под задней крышкой, обеспечивают натяг наружных колец обеих подшипников 0-0,05 мм.
Изготовитель раздаточных коробок применяет два конструкторских решения при установке выходного вала привода заднего моста. Одно описано выше, а другим является установка вала на двухрядный роликовый самоустанавливающийся сферический подшипник — 3. При этом стакан задней крышки в конструкции отсутствует. На рис. 12 оба варианта установки совмещены. В верхней части разреза (выше оси выходного вала) показан первый вариант с шариковым и цилиндрическим роликовым подшипником и стаканом — 7 крышки выходного вала, а в нижней — изображен сферический и роликовый подшипник (II вариант). При этом стакан отсутствует.
Затяжка двенадцати болтов M11x1,25 соединения корпуса водила с фланцем к ведомой косозубой шестерни выходного вала ведется в определенной последовательности (рис. 14) по правилу: момент плюс угол 90°.

Рис. 14 Схема затяжки болтов дифференциала.
Первый этап: затяжка динамометрическим ключом всех болтов моментом порядка 30 Н*м (50% затяжка).
Второй этап: затяжка, в той же последовательности, с доворотом на 90° без динамометрического ключа.
Начинать первый этап можно с любого болта.
При затяжке болтов только динамометрическим ключом мы имеем дело с большими погрешностями, связанными с наличием трения и потерь момента в резьбовом соединении, могущим достигать 30% показаний динамометрического ключа.
Правило затяжки — момент плюс угол 90° — по опыту зарубежных фирм, например, фирмы «Cummins» обеспечивает более точное соединение сопрягаемых деталей.
Характерная зависимость изменения относительной деформации болта — 8, от нагрузки, растягивающей болт приведена на рис. 15.
Рис. 15. Диаграмма нагружения болта при затяжке: 1 — линия нагружения, 2 — линия разгрузки, 3 — точка на диаграмме, соответствующая пределу упругости, 4 — точка нагружения болта при затяжке соединения, εост — остаточная деформация при разгрузке болта, Рзаг — усилие затяжки соединения
В связи с тем, что болт получает при первой затяжке остаточную деформацию εост, его многократное использование ограничено (как правило двукратное с контролем на специальном шаблоне).
Коронная шестерня со стороны выходного вала привода заднего моста имеет срезанные по высоте зубья на длине приблизительно 15 мм. Выходной вал по своему наружному диаметру имеет такие же укороченные зубья. Соединение
ограничивает смещение коронной шестерни относительно выходного вала, создает «плавание» ее при работе. Всё соединение фиксируется замочным кольцом, входящим в проточку коронной шестерни.
Следует заметить, что шестерня привода ведомых (выходных) валов в дифференциальных коробках также охватывается маслоудерживающим экраном в нижней части со стороны масляной ванны, как и в бездифференциальной конструкции. Наружное кольцо цилиндрического роликового подшипника вала привода переднего моста также установлено в выходной вал привода заднего моста через промежуточный штампованный стакан (толщиной приблизительно 1,5 мм) с круговым буртом, который в трех точках по окружности отогнут в проточку выходного вала привода заднего моста. Это исключает осевое перемещение наружного кольца.
Коронная шестерня имеет Zk=62 зуба, а солнечная Zc=23. Таким образом, параметр планетарного ряда — К

Wc — угловая скорость солнечной шестерни;
WK— угловая скорость коронной шестерни;
Известно кинематическое уравнение планетарного ряда:
где Wb— угловая скорость водила.
Передаточные числа от водила к солнечной и коронной шестерням определяется как отношение соответствующих угловых скоростей ведущих и ведомых звеньев механизма.
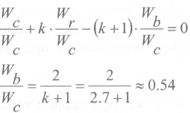
Разделив уравнение (1) на угловую скорость солнечной шестерни Wc, получим
передаточное число планетарного ряда привода переднего моста — Wb/Wc, при буксовании переднего моста.

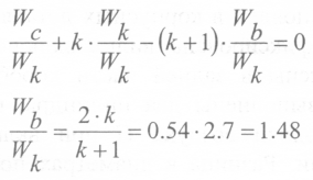
Разделив обе части уравнения (1) на Wk, определим передаточное число планетарного ряда привода заднего моста при условии буксования заднего моста.
Это означает, что приблизительно 3/4 крутящего момента, при данной конструкции дифференциала, подводится к заднему мосту и лишь 1/4 момента — к переднему, т.е. разделение силового потока идет в соотношении 1:3 (27% и 73%).




